Kronos BPC 26x70


 Info  Votes  Messages  More Stats  Up One Level
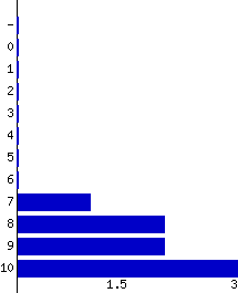
Statistics:

CountTot WeightMedianAvgW AvgStd DevW Std Dev
Optics229.59.509.50000.500.50
Value2210.010.0010.00000.000.00
Overall8109.08.888.70001.051.00

Vote distribution:
graph

[Click Here to Login]
Don't have a login? Register!