Zen-Ray SUMMIT


 Info  Votes  Messages  More Stats  Up One Level
Statistics:

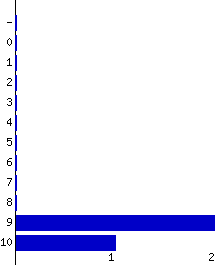
CountTot WeightMedianAvgW AvgStd DevW Std Dev
Optics3159.09.009.00000.000.00
Value31510.010.0010.00000.000.00
Overall3159.09.339.33330.470.47

Vote distribution:
graph

[Click Here to Login]
Don't have a login? Register!