Takahashi Sky-90


 Info  Votes  Messages  More Stats  Up One Level
Statistics:

CountTot WeightMedianAvgW AvgStd DevW Std Dev
Optics8239.59.139.00001.051.25
Mount268.08.008.00000.000.00
Ease of Use72210.09.719.90910.450.29
Value7228.07.718.00001.672.13
Overall14299.08.648.86211.291.25

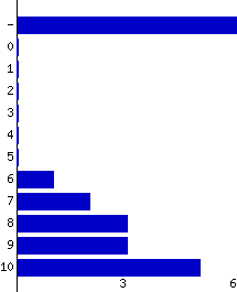
Vote distribution:
graph

[Click Here to Login]
Don't have a login? Register!