Vixen Orthoscopic 6mm


 Info  Votes  Messages  More Stats  Up One Level
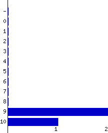
Statistics:

CountTot WeightMedianAvgW AvgStd DevW Std Dev
Optics00.00-0.00-
Value00.00-0.00-
Overall399.09.339.33330.470.47

Vote distribution:
graph

[Click Here to Login]
Don't have a login? Register!