Orion Optics (UK) OMC140


 Info  Votes  Messages  More Stats  Up One Level
Statistics:

CountTot WeightMedianAvgW AvgStd DevW Std Dev
Optics9229.09.009.40910.670.65
Mount6108.07.337.60001.891.50
Ease of Use8219.09.009.19050.710.59
Value9229.09.229.31820.630.82
Overall14279.09.079.37040.800.73

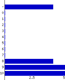
Vote distribution:
graph

[Click Here to Login]
Don't have a login? Register!