Kendrick Astro Instruments


 Info  Votes  Messages  More Stats  Up One Level
Statistics:

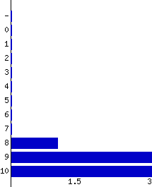
CountTot WeightMedianAvgW AvgStd DevW Std Dev
Price64610.09.509.67391.120.93
Service64610.09.509.32610.760.81
Overall7519.09.299.29410.700.64

Vote distribution:
graph

[Click Here to Login]
Don't have a login? Register!